石英晶體振蕩器
在恒定的負載和溫度的條件下,輸出電壓源給到晶體會產生機械振蕩,進而產生特定頻率的電壓信號,稱為石英晶體振蕩器。所產生的頻率與晶體的形狀和大小有關系,晶體越薄,共振頻率越高,且晶體經過切割后不能產生任何的其他頻率。

主要的影響因素
對于石英晶體振蕩器而言,有許多因素影響到系統的頻率穩定性,如:老化、噪聲、溫度、保持電路、可保持性、磁場、濕度、電源電壓與震動。下面介紹某些重要因素:
① 不穩定因素-時間
老化與短期是時間影響頻率不穩定性的主要因素。老化是由于振蕩器內部變化造成的頻率的長期系統性變化。雖然老化影響頻率范圍只有幾PPM,但對于DTV或機頂盒這類需精確頻率系統的產品來說特別重要。而短期的不穩定性本質上具有隨機性,往往可以定義為噪聲。影響老化的因素有很多,如:質量轉移、晶體受到的應力、熱膨脹、安裝受力、鍵合單元、晶振的驅動電平以及DC偏置等都會影響到晶振的使用期限。理想狀態下,短期的石英晶體振蕩器的輸出是完美的正弦波。然而理想系統中隨機噪聲或閃爍噪聲會導致信號的相位偏移,從而造成頻率為了保持2nπ相位條件而發生改變。相位斜率dφ/df與QL成正比,必須保持高值,以確保最高的頻率穩定性。為了維持高相位斜率,Cm 應當盡可能小。因此,fs與fp之間電抗/頻率的斜率越大,則頻率穩定性越高。
② 不穩定因素-溫度
不同產品的訴求,對溫度的訴求不一樣。一般,石英晶體振蕩器的溫度分為民、企、工、航天等級別,溫度范圍在-40℃~+150℃,然而隨著升至極端溫度,額定頻率的變化開始增大,有可能達到幾十ppm.計算等應用可以承受這一點,但是對于導航、雷達、無線電通信、衛星通信等對準確度與精度要求極高的應用來說,則無法接受這種巨大變化。因此,此類應用需要在系統中添加額外的補償元件
③ 不穩定因素-可調諧性
對于頻率范圍要求不高或較寬的頻率范圍內可調諧性會導致不穩定性。為了實現可調諧性,需要采用濾波器消除多余的頻率模式。然而這樣會影響到可協調性很難實現更高的頻率穩定性,因為負載電抗會受到濾波器中使用的變抗器的雜散電容與電感的影響。
④ 不穩定因素-保持電路
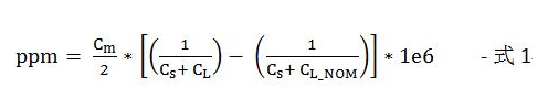
當在晶振中增加外部負載電容器時,電容器與雜散電容的容差會導致實際負載電容偏離所需值。負載電容的這種變化也會造成頻率改變。其可從下式求出:

*Cm:晶振動生電容;
*CS:晶振分流電容;
*CL_NOM:負載電容;
*CL:實際電容。